==
решение физики
надпись
физматрешалка

Все авторы/источники->Иродов И.Е.


Перейти к задаче:  
Страница 60 из 71 Первая<5056575859606162636471>
К странице  
 
Условие Решение
  Наличие  
6-010 Камеру объемом V = 87 л откачивают насосом, скорость откачки которого (см. примечание к предыдущей задаче) С = 10 л/с. Через сколько времени давление в камере уменьшится в n = 1000 раз?
предпросмотр решения задачи N 6-010 Иродов И.Е.
картинка
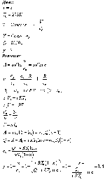
6-011 В гладкой открытой с обоих концов вертикальной трубе, имеющей два разных сечения (рис. ), находятся два поршня, соединенные нерастяжимой нитью, а между поршнями — один моль идеального газа. Площадь сечения верхнего поршня на dS = 10 см2 больше, чем нижнего. Общая масса поршней m = 5,0 кг. Давление наружного воздуха р0 = 1,0 атм. На сколько кельвин надо нагреть газ между поршнями, чтобы они переместились на l = 5,0 см?
предпросмотр решения задачи N 6-011 Иродов И.Е.
картинка
6-012 Найти максимально возможную температуру идеального газа в каждом из нижеследующих процессов: а) Р = Ро - aV^2; б) р = р0е-bV, где р0, а и b — положительные постоянные, V — объем моля газа.
предпросмотр решения задачи N 6-012 Иродов И.Е.
картинка
6-013 Определить наименьшее возможное давление идеального газа в процессе, происходящем по закону Т = Т0 + аV^2, где Т0 и а — положительные постоянные, V — объем моля газа. Изобразить примерный график этого процесса в параметрах р, V
предпросмотр решения задачи N 6-013 Иродов И.Е.
картинка
6-014 Высокий цилиндрический сосуд с азотом находится в однородном поле тяжести, ускорение свободного падения в котором равно g. Температура азота меняется по высоте так, что его плотность всюду одинакова. Найти градиент температуры dT/dh.
предпросмотр решения задачи N 6-014 Иродов И.Е.
картинка
6-015 Допустим, давление p и плотность r воздуха связаны соотношением p/r^n = const независимо от высоты (здесь n — постоянная). Найти соответствующий градиент температуры. под заказ
нет
6-016 Пусть на поверхности Земли воздух находится при нормальных условиях. Считая, что температура и молярная масса воздуха не зависят от высоты, найти его давление на высоте 5,0 км над поверхностью Земли и в шахте на глубине 5,0 км. под заказ
нет
6-017 Считая, что температура и молярная масса воздуха, а также ускорение свободного падения не зависят от высоты, найти разность высот, на которых плотности воздуха при температуре 0°С отличаются: а) в e раз; б) на h = 1,0%
предпросмотр решения задачи N 6-017 Иродов И.Е.
картинка
6-018 Идеальный газ с молярной массой M находится в высоком вертикальном цилиндрическом сосуде, площадь основания которого S и высота h. Температура газа T, его давление на нижнее основание p0. Считая, что температура и ускорение свободного падения g не зависят от высоты, найти массу газа в сосуде. под заказ
нет
6-019 Идеальный газ с молярной массой M находится в очень высоком вертикальном цилиндрическом сосуде в однородном поле тяжести, для которого ускорение свободного падения равно g. Считая температуру газа всюду одинаковой и равной T, найти высоту, на которой находится центр тяжести газа. под заказ
нет
6-020 Идеальный газ с молярной массой M находится в однородном поле тяжести, ускорение свободного падения в котором равно g. Найти давление газа как функцию высоты h, если при h = 0 давление p = p0, а температура изменяется с высотой как а) T = T0 (1 - ah); б) T = T0 (1 + ah), где а > 0. под заказ
нет
6-021 Горизонтальный цилиндр, закрытый с одного конца, вращают с постоянной угловой скоростью w вокруг вертикальной оси, проходящей через открытый конец цилиндра. Давление воздуха снаружи p0, температура T, молярная масса воздуха M. Найти давление воздуха как функцию расстояния r от оси вращения. Молярную массу считать не зависящей от расстояния r. под заказ
нет
6-022 Какому давлению необходимо подвергнуть углекислый газ при T = 300 К, чтобы его плотность оказалась равной p = 500 г/л? Расчет провести как для идеального газа, так и для ван-дер-ваальсовского.
предпросмотр решения задачи N 6-022 Иродов И.Е.
картинка
6-023 Один моль азота находится в объеме V = 1,00 л. Найти: а) температуру азота, при которой погрешность в давлении, определяемом уравнением состояния идеального газа, составляет h = 10% (по сравнению с давлением ван-дер-ваальсовского газа); б) давление газа при этой температуре под заказ
нет
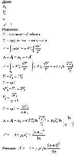
6-024 Один моль некоторого газа находится в сосуде объемом V = 0,250 л. При T1 = 300 К давление газа p1 = 90 атм, а при T2 = 350 К давление p2 = 110 атм. Найти постоянные Ван-дер-Ваальса для этого газа.
предпросмотр решения задачи N 6-024 Иродов И.Е.
картинка
6-025 Показать, что внутренняя энергия U воздуха в комнате не зависит от температуры, если наружное давление р постоянно. Вычислить U, если р равно нормальному атмосферному давлению и объем комнаты F = 40 м3.
предпросмотр решения задачи N 6-025 Иродов И.Е.
картинка
6-026 Два теплоизолированных баллона 1 и 2 наполнены воздухом и соединены короткой трубкой с вентилем. Известны объемы баллонов, а также давление и температура воздуха в них (V1, p1, T1 и V2, p2, T2). Найти температуру и давление воздуха, которые установятся после открытия вентиля.
предпросмотр решения задачи N 6-026 Иродов И.Е.
картинка
6-027 Газообразный водород, находившийся при нормальных условиях в закрытом сосуде объемом V = 5,0 л, охладили на dT = 55 К. Найти приращение внутренней энергии газа и количество отданного им тепла.
предпросмотр решения задачи N 6-027 Иродов И.Е.
картинка
6-028 Какое количество тепла надо сообщить азоту при изобарическом нагревании, чтобы газ совершил работу A = 2,0 Дж?
предпросмотр решения задачи N 6-028 Иродов И.Е.
картинка
6-029 Найти молярную массу газа, если при изобарическом нагревании m = 0,50 кг этого газа на dT = 10 К требуется на dQ = 1,48 кДж больше, чем при изохорическом нагревании. под заказ
нет
6-030 Один моль некоторого идеального газа изобарически нагрели на dT = 72 К, сообщив ему количество тепла Q = 1,60 кДж. Найти приращение его внутренней энергии и величину y = Cp/Cv. под заказ
нет
6-031 Два моля идеального газа при температуре T0 = 300 К охладили изохорически, вследствие чего его давление уменьшилось в n = 2,0 раза. Затем газ изобарически расширили так, что в конечном состоянии его температура стала равной первоначальной. Найти количество тепла, поглощенного газом в данном процессе. под заказ
нет
6-032 Вычислить y для газовой смеси, состоящей из v1 = 2,0 моль кислорода и v1 = 3,0 моль углекислого газа. Газы считать идеальными.
предпросмотр решения задачи N 6-032 Иродов И.Е.
картинка
6-033 Вычислить удельные теплоемкости cv и cp для газовой смеси, состоящей из 7,0 г азота и 20 г аргона. Газы идеальные. под заказ
нет
6-034 В вертикальном цилиндре под невесомым поршнем находится один моль некоторого идеального газа при температуре T. Пространство над поршнем сообщается с атмосферой. Какую работу необходимо совершить, чтобы, медленно поднимая поршень, изотермически увеличить объем газа под ним в n раз? Трения нет. под заказ
нет
6-035 Внутри закрытого с обоих концов горизонтального цилиндра находится легкоподвижный поршень. Первоначально поршень делит цилиндр на две равные части, каждая объемом V0, в которых находится идеальный газ одинаковой температуры и под одним и тем же давлением p0. Какую работу необходимо совершить, чтобы, медленно двигая поршень, изотермически увеличить объем одной части газа в h раз по сравнению с объемом другой части?
предпросмотр решения задачи N 6-035 Иродов И.Е.
картинка
6-036 Три моля идеального газа, находившегося при температуре T0 = 273 К, изотермически расширили в n = 5,0 раз и затем изохорически нагрели так, что его давление стало равным первоначальному. За весь процесс газу сообщили количество тепла Q = 80 кДж. Найти у для этого газа.
предпросмотр решения задачи N 6-036 Иродов И.Е.
картинка
6-037 Один моль кислорода, находившегося при температуре T0 = 290 К, адиабатически сжали так, что его давление возросло в h = 10,0 раз. Найти: а) температуру газа после сжатия; б) работу, которая была совершена над газом. под заказ
нет
6-038 Некоторую массу азота сжали в h = 5,0 раз (по объему) один раз адиабатически, другой раз изотермически. Начальное состояние газа в обоих случаях одинаково. Найти отношение соответствующих работ, затраченных на сжатие.
предпросмотр решения задачи N 6-038 Иродов И.Е.
картинка
6-039 Внутри закрытого теплоизолированного цилиндра с идеальным газом находится легкоподвижный теплопроводящий поршень. При равновесии поршень делит цилиндр на две равные части и температура газа равна Т0. Поршень начали медленно перемещать. Найти температуру газа как функцию отношения h объема большей части к объему меньшей части. Показатель адиабаты газа y
предпросмотр решения задачи N 6-039 Иродов И.Е.
картинка
 
Страница 60 из 71 Первая<5056575859606162636471>
К странице