| № |
Условие |
Решение
|
Наличие |
| 63835 |
Два заряженных шарика подвешены на нитях одинаковой длины в воздухе. Как изменится угол между нитями, если длину нитей и заряды шариков увеличить в два раза? |
40 руб оформление Word |
word |
| 63836 |
К вертикальной бесконечной равномерно заряженной плоскости прикреплена нить с одноименно заряженным шариком. Как изменится угол отклонения нити при равновесии, если заряд и массу шарика удвоить? |
40 руб оформление Word |
word |
| 63837 |
Точечные заряды расположили в вершинах квадрата в такой последовательности(при обходе квадрата): +q, –q, +q, –q.
 Какой будет результат их взаимодействия? (заряды начнут стягиваться к центру квадрата, расходиться от этого центра, или останутся неподвижными). |
40 руб оформление Word |
word |
| 63838 |
Три точечных положительных заряда +q расположены в вершинах равностороннего треугольника, в центре которого находится точечный заряд –q. Как они взаимодействуют? (стягиваются к центру, расходятся от центра, остаются неподвижными). |
40 руб оформление Word |
word |
| 63839 |
На рисунке изображена система, находящаяся в равновесии: кольцо с равномерно распределенным зарядом –|q1| и два точечных заряда +|q|.
 Расстояние зарядов +|q| до центра кольца равно его радиусу. Найти отношение |q|/|q1|. |
40 руб оформление Word |
word |
| 63840 |
Азот массой 12 г находится в закрытом сосуде объемом 2 л при температуре 10 °С. После нагревания давление в сосуде стало равным 1,33 МПа. Какое количество теплоты сообщено газу при нагревании? |
40 руб оформление Word |
word |
| 63841 |
В неоднородное электрическое поле на осевую силовую линию ОО1 поместили незаряженный металлический шарик.
 Будет ли он перемешаться? И, если "да", то в каком направлении? |
40 руб оформление Word |
word |
| 63842 |
На оси равномерно заряженного стержня длиной l на расстоянии а от его конца расположен точечный заряд q. Как изменится сила, действующая на этот заряд, если полный заряд стержня q1 сосредоточить в его середине?
 |
40 руб оформление Word |
word |
| 63843 |
На рисунках а, б стрелками изображены дипольные моменты молекул. Как взаимодействуют молекулы в обоих случаях?
 |
46 руб оформление Word |
word |
| 63844 |
При какой ориентации электрический диполь в однородном электрическом поле (см.рис.)
 находится в положении устойчивого равновесия относительно поворотов? |
40 руб оформление Word |
word |
| 63845 |
В закрытом сосуде объемом V = 10 л находится воздух при давлении p = 0,1 МПа. Какое количество теплоты Q надо сообщить воздуху, чтобы повысить давление в сосуде в 5 раз? |
40 руб оформление Word |
word |
| 63846 |
Какую массу m углекислого газа можно нагреть при p = const от температуры t1 = 20 °C до t2 = 100 °С количеством теплоты Q = 222 Дж? На сколько при этом изменится кинетическая энергия одной молекулы? |
46 руб оформление Word |
word |
| 63847 |
В закрытом сосуде объемом V = 2 л находится азот, плотность которого ρ = 1,4 кг/м3. Какое количество теплоты Q надо сообщить азоту, чтобы нагреть его на ΔT = 100 К? |
40 руб оформление Word |
word |
| 63848 |
Является ли эквипотенциальной плоскость симметрии S.
 в поле точечных зарядов: а) +|q|, +|q| б) +|q|, –|q|? |
40 руб оформление Word |
word |
| 63849 |
Два положительных точечных заряда сближаются, "скользя" по дуге полуокружности с центром в т.О (от диаметрального расположения к вершине дуги).
 Как при этом изменяются напряженность и потенциал электрического поля в т.O? |
40 руб оформление Word |
word |
| 63850 |
Точенный заряд, находящийся на вершине полусферы, "растекается" по ее поверхности. Как при этом изменятся напряженность и потенциал электрического поля в центре основания полусферы? |
69 руб оформление Word |
word |
| 63851 |
В какой области на линии, соединяющей точечные заряды +|q| и –2|q|, находится точка, в которой напряженность электростатического поля равна нулю?
 |
40 руб оформление Word |
word |
| 63852 |
В закрытом сосуде объемом V = 2 л находятся маcса m азота и масса m аргона при нормальных условиях. Какое количество теплоты Q надо сообщить, чтобы нагреть газовую смесь на Δt = 100 °С? |
40 руб оформление Word |
word |
| 63853 |
В какой области на линии, соединяющей точечные заряды +|q| и –2|q|, находится точка, в которой потенциал электростатического поля равна нулю?
 |
40 руб оформление Word |
word |
| 63854 |
Даны два точечных заряда –|q| и +4|q|. Как изменятся потенциал и модуль напряженности электрического поля в точке "А", если заряд –|q| убрать?
 |
40 руб оформление Word |
word |
| 63855 |
Какая часть молекул кислорода при t = 0 °С обладает скоростями v от 100 до 110 м/с? |
40 руб оформление Word |
word |
| 63856 |
Как изменятся потенциал и модуль напряженности электрического поля двух одинаковых точечных зарядов в точке "А", если один заряд убрать?
 |
40 руб оформление Word |
word |
| 63857 |
На оси равномерно заряженного кольца с зарядом +|q| в точке С закреплен маленький шарик с таким же зарядом.
 В точку В (АВ = ВС) поместили положительно заряженную частицу. Определить направление вектора ее ускорения. |
40 руб оформление Word |
word |
| 63858 |
Диэлектрический шар (ε>1), заряженный по объему равномерно и положительно, расположен в вакууме. Как изменяются с увеличением расстояния от центра шара напряженность и потенциал электрического поля? |
69 руб оформление Word |
word |
| 63859 |
График ОАВ на рисунке представляет зависимость E(R) поля равномерно и положительно заряженного шара.
 Каким станет график, если радиус шара увеличить от R1 до R2, сохранив заряд шара неизменным? |
46 руб оформление Word |
word |
| 63860 |
N заряженных капель с потенциалом φ0 сливаются в одну. При этом потенциал большой капли будет равен φ. Отношение потенциалов φ/φ0 = ?k. Найти значение "k". |
40 руб оформление Word |
word |
| 63861 |
Сравнить потенциалы полей, создаваемых положительно заряженными дугами окружностей А и В в их общем полюсе полярного угла. Линейные плотности зарядов дуг одинаковы.
 |
40 руб оформление Word |
word |
| 63862 |
Разность потенциалов между точками А и В на силовой линии электрического поля прямолинейной бесконечной равномерно и положительно заряженной нити нашли по формуле φА–φВ = ЕА·(rА–rВ), где r?>r? и ЕА — модуль напряженности поля в точке А. Результат будет: правильный, завышен, занижен? |
40 руб оформление Word |
word |
| 63863 |
Три бесконечные, прямолинейные, положительно и равномерно заряженные нити проходят через вершины квадрата перпендикулярно его плоскости.
 Как изменится напряженность электрического поля в центре квадрата, если размеры квадрата увеличить? |
41 руб оформление Word |
word |
| 63864 |
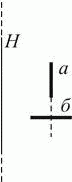
Вблизи бесконечно длинной равномерно заряженной нити H расположен равномерно заряженный короткий стержень.
 Сравнить силы, действующие на стержень в положениях а и б. |
43 руб оформление Word |
word |