| № |
Условие |
Решение
|
Наличие |
| 63385 |
Определить энергию, выделяющуюся в результате реакции → + + . Массы нейтральных атомов магния и натрия соответственно равны 3,8184·10–26 кг и 3,8177·10–26 кг.
|
40 руб оформление Word |
word |
| 63386 |
Металлический стержень длиной 1 м вращается с частотой 200 Гц в плоскости, перпендикулярной линиям однородного магнитного поля (В = 0,2 Тл) вокруг оси, проходящей на расстоянии 25 см от одного из его концов и параллельной линиям поля. Найти э.д.с. на концах этого стержня. |
57 руб оформление Word |
word |
| 63387 |
На продолжении оси тонкого прямого стержня, равномерно заряженного с линейной плотностью заряда τ = 15 нКл/см на расстоянии а = 40 см от конца стержня находится точечный заряд q = 10 мкКл. Второй конец стержня уходит в бесконечность. Определить силу, действующую на заряд q. |
40 руб оформление Word |
word |
| 63388 |
На продолжении оси тонкого прямого стержня, равномерно заряженного с линейной плотностью заряда τ = 400 нКл/см на расстоянии а = 30 см от конца стержня находится точечный заряд q = 20 мкКл. Второй конец стержня уходит в бесконечность. Определить силу, действующую на заряд q. |
40 руб оформление Word |
word |
| 63389 |
Обкладки плоского конденсатора, расстояние между которыми d = 2 мм, взаимодействуют с силой F = 100 мН. Найти заряд конденсатора, если разность потенциалов между обкладками U = 500 В. |
40 руб оформление Word |
word |
| 63390 |
Определить энергию и силу притяжения обкладок плоского конденсатора при условии, что разность потенциалов между обкладками U = 5 кВ, заряд каждой обкладки q = 0,1 мкКл, расстояние между обкладками d = 1 см. |
40 руб оформление Word |
word |
| 63391 |
При включении электромотора в сеть напряжением U = 300 В он потребляет ток I = 5 А. Определить мощность, потребляемую мотором, и его КПД, если сопротивление обмотки мотора R = 10 Ом. |
40 руб оформление Word |
word |
| 63392 |
В проводнике за время τ = 10 с при равномерно возрастании силы тока от I1 = 1,5 А до I2 = 3 А выделилось количество теплоты Q = 15 кДж. Найти сопротивление R проводника. |
46 руб оформление Word |
word |
| 63393 |
По двум бесконечно длинным проводам, скрещенным под прямым углом, текут токи I1 = 100 А и I2 = 200 А. Определите магнитную индукцию в точке А, равноудаленной от проводов на расстояние d = 20 см (рисунок 40).
 |
40 руб оформление Word |
word |
| 63394 |
По витку радиусом R = 20 см течет ток I = 50 А. Виток помещен в однородное магнитное поле напряжённостью Н = 15 кА/м. Определите момент силы М, действующей на виток, если плоскость витка составляет угол φ = 60? с линиями индукции поля. |
40 руб оформление Word |
word |
| 63395 |
В однородном магнитном поле с индукцией В = 6·10–2 Тл находится соленоид диаметром d = 8 см, имеющий N = 80 витков медной проволоки сечением S0 = 1 мм2. Соленоид поворачивают на угол α = 180° за время Δt = 0,2 с так, что его ось остается направленной вдоль поля. Найти среднее значение ЭДС, возникающей в соленоиде, и индукционный заряд. Удельное сопротивление меди ρ = 1,7·10–8 Ом·м. |
40 руб оформление Word |
word |
| 63396 |
Скорость распространения электромагнитных волн в кабеле уменьшилась на 30% после того, как пространство между внешним и внутренним проводниками кабеля заполнили диэлектриком. Определить диэлектрическую проницаемость диэлектрика. |
40 руб оформление Word |
word |
| 63397 |
Определите, является ли реакция + → + экзотермической или эндотермической. Определите энергию ядерной реакции. |
40 руб оформление Word |
word |
| 63398 |
Скорость распространения электромагнитных волн в кабеле уменьшилась на 15% после того, как пространство между внешним и внутренним проводниками кабеля заполнили диэлектриком. Определить диэлектрическую проницаемость диэлектрика. |
40 руб оформление Word |
word |
| 63399 |
Скорость распространения электромагнитных волн в кабеле уменьшилась на 20% после того, как пространство между внешним и внутренним проводниками заполнили диэлектриком. Определить относительную электрическую восприимчивость диэлектрика. |
40 руб оформление Word |
word |
| 63400 |
Определите, выделяется или поглощается энергия при ядерной реакции + → + . Массы ядер, участвующих в реакции: m = 2,3253·10−26 кг, m = 6,6467·10−27 кг, m = 1,6736·10−27 кг, m = 2,8229·10−27 кг. |
40 руб оформление Word |
word |
| 63401 |
Определить силу тока в каждой ветви электрической цепи (см. рисунок), если ε1 = ε2 = 220 В, внутреннее сопротивление источников тока r1 = r2 = 0,1 Ом, сопротивления R1 = R4 = 0,4 Ом, R5 = 1 Ом, R2 = 9,5 Ом, R3 = 19,5 Ом.
 |
40 руб оформление Word |
word |
| 63402 |
Запишите недостающие обозначения x в следующих ядерных реакциях:
 |
40 руб оформление Word |
word |
| 63403 |
Зависимость телом пути от времени выражена уравнением s = 1+0,1t+0,14t3.Через сколько времени после начала движения ускорение тела будет равно 1 м/с2? |
40 руб оформление Word |
word |
| 63404 |
Вентилятор вращается с частотой 15 с–1. После выключения вентилятор, вращаясь равнозамедленно, сделал до остановки 75 оборотов. Сколько времени прошло с момента выключения вентилятора до его полной остановки? |
40 руб оформление Word |
word |
| 63405 |
Поезд массой 106 кг за 1 мин увеличил скорость с 54 до 72 км/ч. Найти силу тяги, если коэффициент трения 0,003. |
40 руб оформление Word |
word |
| 63406 |
Поезд массой 106 кг за 1 мин 40 секунд увеличил скорость с 54 до 72 км/ч. Найти силу тяги, если коэффициент трения 0,03. |
40 руб оформление Word |
word |
| 63407 |
Найти амплитуду А, период Т, частоту ν и начальную фазу колебания, заданного уравнением: x = 5·sin((39,5·t+5,2)/5) (см). |
40 руб оформление Word |
word |
| 63408 |
Определите амплитуду, период, циклическую частоту и начальную фазу колебаний, заданных уравнением x = 10cos π(t + 5/8), см. |
40 руб оформление Word |
word |
| 63409 |
Определите амплитуду, период, циклическую частоту и начальную фазу колебаний, заданных уравнением x = 5cos 10π(t +0,1), см. |
40 руб оформление Word |
word |
| 63410 |
Определите амплитуду, период, циклическую частоту и начальную фазу колебаний, заданных уравнением x = 5cos 2π(t + 1/8), см. |
40 руб оформление Word |
word |
| 63411 |
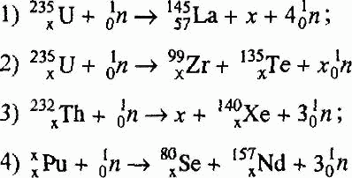
Дополните недостающие обозначения х в следующих ядерных реакциях:
 |
40 руб оформление Word |
word |
| 63412 |
Определите амплитуду, период, циклическую частоту и начальную фазу колебаний, заданных уравнением x = 3sin π(t+1/2), см. |
40 руб оформление Word |
word |
| 63413 |
Определите амплитуду, период, циклическую частоту и начальную фазу колебаний, заданных уравнением x = 6sin π(t+1/4), см. |
40 руб оформление Word |
word |
| 63414 |
Определите амплитуду, период, циклическую частоту и начальную фазу колебаний, заданных уравнением x = 3sin 2π(t+1/4), см. |
40 руб оформление Word |
word |