==
решение физики
надпись
физматрешалка

Все авторы/источники->Гладской В.М.


Перейти к задаче:  
Страница 10 из 12 123456789101112
 
Условие Решение
  Наличие  
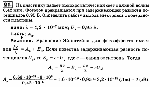
5-011 Давление света на зеркальную поверхность, расположенную на расстоянии 2 м от лампочки, нормально падающим лучом, равно 10^-8 Па. Определить мощность, расходуемую на излучение
предпросмотр решения задачи N 5-011 Гладской В.М.
картинка
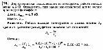
5-012 Давление света с длиной волны 0,55 мкм, нормально падающего на зеркальную поверхность, равно 9 мкПа. Определить концентрацию фотонов вблизи поверхности
предпросмотр решения задачи N 5-012 Гладской В.М.
картинка
5-013 Красная граница фотоэффекта для никеля равна 0,257 мкм. Найти длину волны света, падающего на никелевый электрод, если фототок прекращается при задерживающей разности потенциалов, равной 1,5 В
предпросмотр решения задачи N 5-013 Гладской В.М.
картинка
5-014 Для фотокатода, выполненного из вольфрама, работа выхода равна 4,5 эВ. Определить, при какой максимальной длине волны происходит фотоэффект
предпросмотр решения задачи N 5-014 Гладской В.М.
картинка
5-015 Фотон с длиной волны 0,2 мкм вырывает с поверхности фотокатода электрон, кинетическая энергия которого 2 эВ. Определить работу выхода и красную границу фотоэффекта
предпросмотр решения задачи N 5-015 Гладской В.М.
картинка
5-016 Какую часть энергии фотона составляет энергия, которая пошла на совершение работы выхода электронов из фотокатода, если красная граница для материала фотокатода равна 0,54 мкм, кинетическая энергия фотоэлектронов 0,5 эВ
предпросмотр решения задачи N 5-016 Гладской В.М.
картинка
5-017 Кинетическая энергия электронов, выбитых из цезиевого катода, равна 3 эВ. Определить, при какой максимальной длине волны света выбиваются электроны. Работа выхода для цезия 1,8 эВ
предпросмотр решения задачи N 5-017 Гладской В.М.
картинка
5-018 Облучение литиевого фотокатода производится фиолетовыми лучами, длина волны которых равна 0,4 мкм. Определить скорость фотоэлектронов, если длина волны красной границы фотоэффекта для лития равна 0,52 мкм
предпросмотр решения задачи N 5-018 Гладской В.М.
картинка
5-019 Определить максимальную скорость электрона, вырванного с поверхности металла y-квантом с энергией 1,53 МэВ
предпросмотр решения задачи N 5-019 Гладской В.М.
картинка
5-020 На цинковую пластинку падает пучок ультрафиолетовых лучей с длиной волны 0,2 мкм. Определить максимальную кинетическую энергию и максимальную скорость фотоэлектронов. Работа выхода для цинка 4 эВ
предпросмотр решения задачи N 5-020 Гладской В.М.
картинка
5-021 На пластинку падает монохроматический свет с длиной волны 0,42 мкм. Фототок прекращается при задерживающей разности потенциалов 0,95 В. Определить работу выхода электронов с поверхности пластины
предпросмотр решения задачи N 5-021 Гладской В.М.
картинка
5-022 Гамма-фотон с длиной волны 1,2 пм в результате комптоновского рассеяния на свободном электроне отклонился от первоначального направления на угол 60°. Определить кинетическую энергию и импульс электрона отдачи. До столкновения электрон покоился
предпросмотр решения задачи N 5-022 Гладской В.М.
картинка
5-023 Угол рассеяния фотона с энергией 1,2 МэВ на свободном электроне 60°. Найти длину волны рассеянного фотона, энергию и импульс электрона отдачи (кинетической энергией электрона до соударения пренебречь)
предпросмотр решения задачи N 5-023 Гладской В.М.
картинка
5-024 Фотон с импульсом 5,44*10^-22 кг*м/с был рассеян на свободном электроне на угол 30° в результате эффекта Комптона. Определить импульс рассеянного фотона
предпросмотр решения задачи N 5-024 Гладской В.М.
картинка
5-025 Фотон с энергией 0,51 МэВ в результате комптоновского рассеяния отклонился на угол 180°. Определить долю энергии в процентах, оставшуюся у рассеянного фотона
предпросмотр решения задачи N 5-025 Гладской В.М.
картинка
5-026 В результате комптоновского эффекта электрон приобрел энергию 0,5 МэВ. Определить энергию падающего фотона, если длина волны рассеянного фотона 2,5*10^-12 м
предпросмотр решения задачи N 5-026 Гладской В.М.
картинка
5-027 В результате комптоновского рассеяния на свободном покоящемся электроне длина волны y-фотона L1 увеличилась вдвое. Найти кинетическую энергию и импульс электрона отдачи, если угол рассеяния равен 60°
предпросмотр решения задачи N 5-027 Гладской В.М.
картинка
5-028 Первоначально покоившийся электрон приобрел кинетическую энергию 0,06 МэВ в результате комптоновского рассеяния на нем y-фотона с энергией 0,51 МэВ. Чему равен угол рассеяния фотона
предпросмотр решения задачи N 5-028 Гладской В.М.
картинка
6-001 Атом водорода испустил фотон с длиной волны 4,86*10^-7 м. На сколько изменилась энергия электрона в атоме
предпросмотр решения задачи N 6-001 Гладской В.М.
картинка
6-002 Определить первый боровский радиус орбиты в атоме водорода и скорость движения электрона по этой орбите
предпросмотр решения задачи N 6-002 Гладской В.М.
картинка
6-003 Определить длину волны спектральной линии, соответствующей переходу электрона в атоме водорода с шестой орбиты на вторую
предпросмотр решения задачи N 6-003 Гладской В.М.
картинка
6-004 Определить наибольшие и наименьшие длины волн фотонов, излучаемых при переходе электронов в сериях Лаймана, Бальмера и Пашена
предпросмотр решения задачи N 6-004 Гладской В.М.
картинка
6-005 Сколько линий спектра атома водорода попадает в видимую область (L = 0,4 -:- 0,76 мкм)? Вычислить длины волн этих линий. Каким цветам они соответствуют
предпросмотр решения задачи N 6-005 Гладской В.М.
картинка
6-006 Кинетическая энергия протона в 4 раза меньше его энергии покоя. Вычислить дебройлеровскую длину волны протона
предпросмотр решения задачи N 6-006 Гладской В.М.
картинка
6-007 Вычислить длину волны де Бройля электрона, движущегося со скоростью v = 0,75c (c — скорость света в вакууме)
предпросмотр решения задачи N 6-007 Гладской В.М.
картинка
6-008 Кинетическая энергия протона равна его энергии покоя. Вычислить длину волны де Бройля для такого протона
предпросмотр решения задачи N 6-008 Гладской В.М.
картинка
6-009 Определить кинетическую энергию протона и электрона, для которых длина волны де Бройля равна 0,06 нм
предпросмотр решения задачи N 6-009 Гладской В.М.
картинка
6-010 Протон обладает кинетической энергией, равной энергии покоя. Во сколько раз изменится длина волны де Бройля протона, если его кинетическая энергия увеличится в 2 раза
предпросмотр решения задачи N 6-010 Гладской В.М.
картинка
6-011 Какой кинетической энергией должен обладать протон, чтобы длина волны де Бройля протона равнялась его комптоновской длине волны
предпросмотр решения задачи N 6-011 Гладской В.М.
картинка
6-012 Электрон прошел ускоряющую разность потенциалов U. Найти длину волны де Бройля для случаев: U = 51 В; U = 510 кВ
предпросмотр решения задачи N 6-012 Гладской В.М.
картинка
 
Страница 10 из 12 123456789101112