==
решение физики
надпись
физматрешалка

Все авторы/источники->Чертов А.Г.


Перейти к задаче:  
Страница 12 из 72 Первая<289101112131415162272>
К странице  
 
Условие Решение
  Наличие  
05-034 Найти скорость v протона, если его кинетическая энергия равна: 1) Т = 1 МэВ; 2) Т = 1 ГэВ.
предпросмотр решения задачи N 05-034 Чертов А.Г.
картинка
05-035 Показать, что релятивистское выражение кинетической энергии T = (m-m0)c^2 при v<
предпросмотр решения задачи N 05-035 Чертов А.Г.
картинка
05-036 Какая относительная ошибка будет допущена при вычислении кинетической энергии релятивистской частицы, если вместо релятивистского выражения Т = (m—m1)с2 воспользоваться классическим Т = 1/2m0v2? Вычисления выполнить для двух случаев: 1) v = 0,2 c; 2) v = 0,8 с.
предпросмотр решения задачи N 05-036 Чертов А.Г.
картинка
05-037 Две релятивистские частицы движутся навстречу друг другу с одинаковыми (в лабораторной системе отсчета) кинетическими энергиями, равными их энергии покоя. Определить: 1) скорости частиц в лабораторной системе отсчета; 2) относительную скорость сближения частиц (в единицах c); 3) кинетическую энергию (в единицах m0c2) одной из частиц в системе отсчета, связанной с другой частицей.
предпросмотр решения задачи N 05-037 Чертов А.Г.
картинка
05-038 Показать, что выражение релятивистского импульса через кинетическую энергию в соответствующее выражение классической механики.
предпросмотр решения задачи N 05-038 Чертов А.Г.
картинка
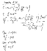
05-039 Определить импульс р частицы (в единицах m0с), если ее кинетическая энергия равна энергии покоя.
предпросмотр решения задачи N 05-039 Чертов А.Г.
картинка
05-040 Определить кинетическую энергию Т релятивистской частицы (в единицах m0c2), если ее импульс p = m0c
предпросмотр решения задачи N 05-040 Чертов А.Г.
картинка
05-041 Кинетическая энергия релятивистской частицы равна ее энергии покоя. Во сколько раз возрастет импульс частицы, если ее кинетическая энергия увеличится в n = 4 раза?
предпросмотр решения задачи N 05-041 Чертов А.Г.
картинка
05-042 Импульс р релятивистской частицы равен . Под действием внешней силы импульс частицы увеличился в два раза. Во сколько раз возрастет при этом энергия частицы: 1) кинетическая? 2) полная?
предпросмотр решения задачи N 05-042 Чертов А.Г.
картинка
05-043 При неупругом столкновении частицы, обладающей импульсом p = m0c, и такой же покоящейся частицы образуется составная частица. Определить: 1) скорость v частицы (в единицах c) до столкновения; 2) релятивистскую массу составной частицы (в единицах m0); 3 скорость составной частицы; 4) массу покоя составной частицы (в единицах m0); 5) кинетическую энергию частицы до столкновения и кинетическую энергию составной частицы (в единицах m0c2).
предпросмотр решения задачи N 05-043 Чертов А.Г.
картинка
05-044 Частица с кинетической энергией Т = m0c2 налетает на другую такую же частицу, которая в лабораторной системе отсчета покоится. Найти суммарную кинетическую энергию Т' частиц в системе отсчета, связанной с центром инерции системы частиц.
предпросмотр решения задачи N 05-044 Чертов А.Г.
картинка
06-001 Уравнение колебаний точки имеет вид, где x = Acosw(t+т) w = pi с-1, т = 0,2 с. Определить период Т и начальную фазу f колебаний.
предпросмотр решения задачи N 06-001 Чертов А.Г.
картинка
06-002 Определить период Т, частоту v и начальную фазу f колебаний, заданных уравнением x = Asinw(t+т) w = 2.5pi с-1, т = 0,4 с.
предпросмотр решения задачи N 06-002 Чертов А.Г.
картинка
06-003 Точка совершает колебания по закону Acos(wt+f), где A = 4 см. Определить начальную фазу f, если: 1) х(0) = 2 см и x'(0)<0 ; 2) х(0) = -2sqrt(2) см и x'(0<0); 3) х(0) = 2см и x'(0)>0; 4) х(0) = -2sqrt(3) и x'(0)>0. Построить векторную диаграмму для момента t = 0.
предпросмотр решения задачи N 06-003 Чертов А.Г.
картинка
06-004 Точка совершает колебания по закону Asin(wt+f), где A = 4 см. Определить начальную фазу f, если: 1) х(0) = 2 см и x'(0)<0 ; 2) х(0) = 2sqrt(3) см и x'(0)>0; 3) х(0) = -2sqrt(2) см и x'(0)<0; 4) х(0) = -2sqrt(3) и x'(0)>0. Построить векторную диаграмму для момента t = 0.
предпросмотр решения задачи N 06-004 Чертов А.Г.
картинка
06-005 Точка совершает колебания по закону Acos(wt+f), где A = 2 см; ; f = pi/4 рад. Построить графики зависимости от времени: 1) смещения x(t); 2) скорости x'(t); 3) ускорения x''(t)
предпросмотр решения задачи N 06-005 Чертов А.Г.
картинка
06-006 Точка совершает колебания с амплитудой A = 4 см и периодом Т = 2 с. Написать уравнение этих колебаний, считая, что в момент t = 0 смещения x(0) = 0 и x'(0)<0. Определить фазу для двух моментов времени: 1) когда смещение х = 1 см и ; 2) когда скорость x' = —6 см/с и x<0.
предпросмотр решения задачи N 06-006 Чертов А.Г.
картинка
06-007 Точка равномерно движется по окружности против часовой стрелки с периодом Т = 6 с. Диаметр d окружности равен 20 см. Написать уравнение движения проекции точки на ось х, проходящую через центр окружности, если в момент времени, принятый за начальный, проекция на ось х равна нулю. Найти смещение х, скорость и ускорение проекции точки в момент t = 1 с.
предпросмотр решения задачи N 06-007 Чертов А.Г.
картинка
06-008 Определить максимальные значения скорости и ускорения точки, совершающей гармонические колебания с амплитудой А = 3 см и угловой частотой w = pi/2 под заказ
нет
06-009 Точка совершает колебания по закону Acoswt, где А = 5 см; . Определить ускорение точки в момент времени, когда ее скорость = 8 см/с.
предпросмотр решения задачи N 06-009 Чертов А.Г.
картинка
06-010 Точка совершает гармонические колебания. Наибольшее смещение xmах точки равно 10 см, наибольшая скорость x'max = 20 см/с. Найти угловую частоту w колебаний и максимальное ускорение точки. под заказ
нет
06-011 Максимальная скорость точки, совершающей гармонические колебания, равна 10 см/с, максимальное ускорение x'' = 100 см/с2. Найти угловую частоту w колебаний, их период Т и амплитуду А. Написать уравнение колебаний, приняв начальную фазу равной нулю.
предпросмотр решения задачи N 06-011 Чертов А.Г.
картинка
06-012 Точка совершает колебания по закону x = Asinwt. В некоторый момент времени смещение х1 точки оказалось равным 5 см. Когда фаза колебаний увеличилась вдвое, смещение х, стало равным 8 см. Найти амплитуду А колебаний. под заказ
нет
06-013 Колебания точки происходят по закону x = Acos(wt+f). В некоторый момент времени смещение х точки равно 5 см, ее скорость x' = 20 см/с и ускорение x'' = —80 см/с2. Найти амплитуду A, угловую частоту w, период Т колебаний и фазу в рассматриваемый момент времени. под заказ
нет
06-014 Два одинаково направленных гармонических колебания одного периода с амплитудами A1 = 10 см и A2 = 6 см складываются в одно колебание с амплитудой А = 14 см. Найти разность фаз складываемых колебаний.
предпросмотр решения задачи N 06-014 Чертов А.Г.
картинка
06-015 Два гармонических колебания, направленных по одной прямой и имеющих одинаковые амплитуды и периоды, складываются в одно колебание той же амплитуды. Найти разность фаз складываемых колебаний.
предпросмотр решения задачи N 06-015 Чертов А.Г.
картинка
06-016 Определить амплитуду А и начальную фазу ф результирующего колебания, возникающего при сложении двух колебаний одинаковых направления и периода: x1 = A1sin(wt) и x2 = A2sin(wt+т) , где A1 = A2 = 1 см; w = pi с-1; т = 0,5 с. Найти уравнение результирующего колебания.
предпросмотр решения задачи N 06-016 Чертов А.Г.
картинка
06-017 Точка участвует в двух одинаково направленных колебаниях: x1 = A1sin(wt) и x2 = A2cos(wt), где A1 = 1 см; A2 = 2 см; w = 1 с-1. Определить амплитуду А результирующего колебания, его частоту v и начальную фазу f. Найти уравнение этого движения
предпросмотр решения задачи N 06-017 Чертов А.Г.
картинка
06-019 Складываются три гармонических колебания одного направления с одинаковыми периодами Т1 = Т2 = Т3 = 2 с и амплитудами A1 = A2 = A3 = 3 см. Начальные фазы колебаний f1 = 0, f2 = pi/3, f3 = 2pi/3. Построить векторную диаграмму сложения амплитуд. Определить из чертежа амплитуду А и начальную фазу f результирующего колебания. Найти его уравнение.
предпросмотр решения задачи N 06-019 Чертов А.Г.
картинка
06-020 Складываются два гармонических колебания одинаковой частоты и одинакового направления: x1 = A1cos(wt+f) и x2 = A2cos(wt+f). Начертить векторную диаграмму для момента времени t = 0. Определить аналитически амплитуду А и начальную фазу f результирующего колебания. Отложить A и f на векторной диаграмме. Найти уравнение результирующего колебания (в тригонометрической форме через косинус). Задачу решить для двух случаев: 1) A1 = 1 см, f1 = pi/3; A2 = 2 см, f2 = 5pi/6; 2) A1 = 1 см, f1 = 2pi/3; A2 = 1 см, f2 = 7pi/6.
предпросмотр решения задачи N 06-020 Чертов А.Г.
картинка
 
Страница 12 из 72 Первая<289101112131415162272>
К странице