==
решение физики
надпись
физматрешалка

Все авторы/источники->Чертов А.Г.


Перейти к задаче:  
Страница 11 из 72 Первая<7891011121314152172>
К странице  
 
Условие Решение
  Наличие  
05-005 В системе К' покоится стержень, собственная длина l0 которого равна 1 м. Стержень расположен так, что составляет угол фо = 45° с осью х'. Определить длину l стержня и угол ф в системе K, если скорость v0 системы K' относительно K равна 0,8 с.
предпросмотр решения задачи N 05-005 Чертов А.Г.
картинка
05-006 В системе К находится квадрат, сторона которого параллельна оси х'. Определить угол ф между его диагоналями в системе К, если система К' движется относительно К со скоростью v = 0,95 с.
предпросмотр решения задачи N 05-006 Чертов А.Г.
картинка
05-007 В лабораторной системе отсчета (K-система) пи-мезон с момента рождения до момента распада пролетел расстояние l = 75 м. Скорость v пи-мезона равна 0,995 с. Определить собственное время жизни t0 мезона. под заказ
нет
05-008 Собственное время жизни ?0 мю-мезона равно 2 мкс. От точки рождения до точки распада в лабораторной системе отсчета мю-мезон пролетел расстояние l = 6 км. С какой скоростью v (в долях скорости света) двигался мезон?
предпросмотр решения задачи N 05-008 Чертов А.Г.
картинка
05-009 Показать, что формула сложения скоростей релятивистских частиц переходит в соответствующую формулу классической механики при v << c.
предпросмотр решения задачи N 05-009 Чертов А.Г.
картинка
05-010 Две релятивистские частицы движутся в лабораторной системе отсчета со скоростями v1 = 0,6 с и v2 = 0,9 с вдоль одной прямой. Определить их относительную скорость u21 в двух случаях: 1) частицы движутся водном направлении; 2) частицы движутся в противоположных направлениях. под заказ
нет
05-011 В лабораторной системе отсчета удаляются друг от друга две частицы с одинаковыми по модулю скоростями. Их относительная скорость u в той же системе отсчета равна 0,5 с. Определить скорости частиц.
предпросмотр решения задачи N 05-011 Чертов А.Г.
картинка
05-012 Ион, вылетев из ускорителя, испустил фотон в направлении своего движения. Определить скорость фотона относительно ускорителя, если скорость v иона относительно ускорителя равна 0,8 с.
предпросмотр решения задачи N 05-012 Чертов А.Г.
картинка
05-013 Ускоритель сообщил радиоактивному ядру скорость v1 = 0,4 с. В момент вылета из ускорителя ядро выбросило в направлении своего движения b-частицу со скоростью v2 = 0,75 с относительно ускорителя. Найти скорость u21 частицы относительно ядра. под заказ
нет
05-013 Система состоит из трех зарядов - двух одинаковых по величине Q1 = |Q2| = 1 мкКл и противоположных по знаку и заряда Q = 20 нКл, расположенного точке 1 посередине между двумя другими зарядами системы (рис. 15.7). Определить изменение потенциальной энергии dП системы при переносе заряда Q из точки 1 в точку 2. Эти точки удалены от отрицательного заряда Q1 на расстояние а = 0,2 м. под заказ
нет
05-014 Два ускорителя выбрасывают навстречу друг другу частицы со скоростями |v| = 0,9 с. Определить относительную скорость и21 сближения частиц в системе отсчета, движущейся вместе с одной из частиц.
предпросмотр решения задачи N 05-014 Чертов А.Г.
картинка
05-015 Частица движется со скоростью v = 0,5 с. Во сколько раз релятивистская масса частицы больше массы покоя?
предпросмотр решения задачи N 05-015 Чертов А.Г.
картинка
05-016 С какой скоростью v движется частица, если ее релятивистская масса в три раза больше массы покоя?
предпросмотр решения задачи N 05-016 Чертов А.Г.
картинка
05-017 Отношение заряда движущегося электрона к его массе, определенное из опыта, равно 0,88·10^11 Кл/кг. Определить релятивистскую массу т электрона и его скорость v.
предпросмотр решения задачи N 05-017 Чертов А.Г.
картинка
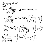
05-018 На сколько процентов релятивистская масса частицы больше массы покоя при скорости v = 30 Мм/с?
предпросмотр решения задачи N 05-018 Чертов А.Г.
картинка
05-019 Показать, что выражение релятивистского импульса переходит в соответствующее выражение импульса в классической механике при v< под заказ
нет
05-020 Электрон движется со скоростью v = 0,6 с. Определить релятивистский импульс р электрона.
предпросмотр решения задачи N 05-020 Чертов А.Г.
картинка
05-021 Импульс р релятивистской частицы равен т0с (т0 — масса покоя). Определить скорость ? частицы (в долях скорости света). 40 руб
оформление Word
word
05-022 В лабораторной системе отсчета одна из двух одинаковых частиц покоится, другая движется со скоростью v = 0,8 с по направлению к покоящейся частице. Определить: 1) релятивистскую массу движущейся частицы в лабораторной системе отсчета; 2) скорость частиц в системе отсчета, связанной с центром инерции системы; 3) релятивистскую массу частиц в системе отсчета, связанной с центром инерции. под заказ
нет
05-023 В лабораторной системе отсчета находятся две частицы. Одна частица с массой покоя m0 движется со скоростью v = 0,6 с, другая с массой покоя 2m0 покоится. Определить скорость Vc центра масс системы частиц.
предпросмотр решения задачи N 05-023 Чертов А.Г.
картинка
05-024 Полная энергия тела возросла на dE = 1 Дж. На сколько при этом изменится масса тела? под заказ
нет
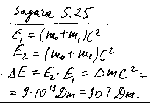
05-025 Определить, на сколько должна увеличиться полная энергия тела, чтобы его релятивистская масса возросла на dm = 1 г?
предпросмотр решения задачи N 05-025 Чертов А.Г.
картинка
05-026 Вычислить энергию покоя: 1) электрона; 2) протона; 3) a-частицы. Ответ выразить в джоулях и мегаэлектрон-вольтах.
предпросмотр решения задачи N 05-026 Чертов А.Г.
картинка
05-027 Известно, что объем воды в океане равен 1,37·10^9 км3. Определить, на сколько возрастет масса воды в океане, если температура воды повысится на dt = 1 °С. Плотность р воды в океане принять равной 1,03·10^3 кг/м3.
предпросмотр решения задачи N 05-027 Чертов А.Г.
картинка
05-028 Солнечная постоянная С (плотность потока энергии электромагнитного излучения Солнца на расстоянии, равном среднему расстоянию от Земли до Солнца) равна 1,4 кВт/м2. 1. Определить массу, которую теряет Солнце в течение одного года. 2. На сколько изменится масса воды в океане за один год, если предположить, что поглощается 50 % падающей на поверхность океана энергии излучения? При расчетах принять площадь S поверхности океана равной 3,6·10^8 км2.
предпросмотр решения задачи N 05-028 Чертов А.Г.
картинка
05-029 Кинетическая энергия Т электрона равна 10 МэВ. Во сколько раз его релятивистская масса больше массы покоя? Сделать такой же подсчет для протона.
предпросмотр решения задачи N 05-029 Чертов А.Г.
картинка
05-030 Во сколько раз релятивистская масса протона больше релятивистской массы электрона, если обе частицы имеют одинаковую кинетическую энергию Т = 1 ГэВ?
предпросмотр решения задачи N 05-030 Чертов А.Г.
картинка
05-031 Электрон летит со скоростью v = 0,8 с. Определить кинетическую энергию Т электрона (в мегаэлектрон-вольтах).
предпросмотр решения задачи N 05-031 Чертов А.Г.
картинка
05-032 При какой скорости v кинетическая энергия любой частицы вещества равна ее энергии покоя?
предпросмотр решения задачи N 05-032 Чертов А.Г.
картинка
05-033 Определить скорость VE электрона, если его кинетическая энергия равна: 1) Т = 4 МэВ; 2) T = 1 кэВ
предпросмотр решения задачи N 05-033 Чертов А.Г.
картинка
 
Страница 11 из 72 Первая<7891011121314152172>
К странице